优化的原理是什么_新优化设计是什么(3)
原理图集原理 2025-02-01 23:11
,"height":448x839,153456b
干货 mysql优化原理分析及优化方案总结
png,521x739,53804b
mysql优化原理
png,325x451,220814b
数据库优化原理解析 三 内存原理与数据库优化
png,503x872,65299b
phase6 物理层优化器_ 这里不详细介绍每个优化器的原理,单独介绍一下mapjoin的优化器_ 名称_ 作用_ 最后一个阶段,将mapwork和reducework中的operatortree以rs为界限剪开_ operatortree生成m
jpg,506x600,14884b
运城网站优化原理,听起来深奥,其实不难
jpg,624x1462,80390b
HBase 原理 设计与优化实践
,"height":747x977,107223b
干货 mysql优化原理分析及优化方案总结
png,717x1102,814275b
数据库开发 mysql 存储引擎
jpg,972x1368,222792b
mysql聚簇索引 聚集索引 索引组织表
jpg,600x600,20235b
基于大数据的高校教育管理研究
jpg,264x500,31249b
浪潮整机柜sds 广电采集系统如何进行io优化
png,655x833,33952b
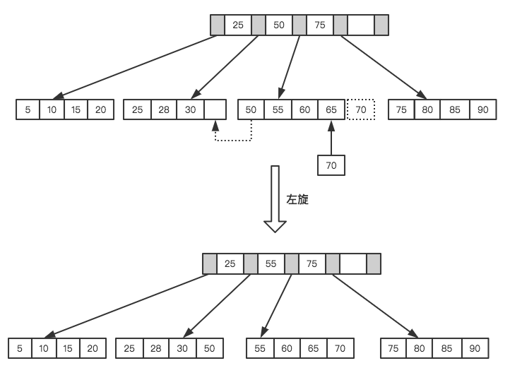
mysql索引的数据结构及算法原理
下一篇:算命的原理是什么_算命你是什么命









