什么叫单边原理_单边眼镜
原理图集原理 2025-02-21 16:36
请问,这种单兵坦克转弯原理是什么 如何转弯的单边刹吗
太美了 40张动图看懂各种传感器原理
气动系统的故障诊断与维护要点
22张动态图带你走进各种水处理阀门的内部
什么叫倍压整流电路 倍压整流电路的工作原理是什么
22张动态图带你走进各种水处理阀门的内部
从40张图中看出不同传感器的工作原理
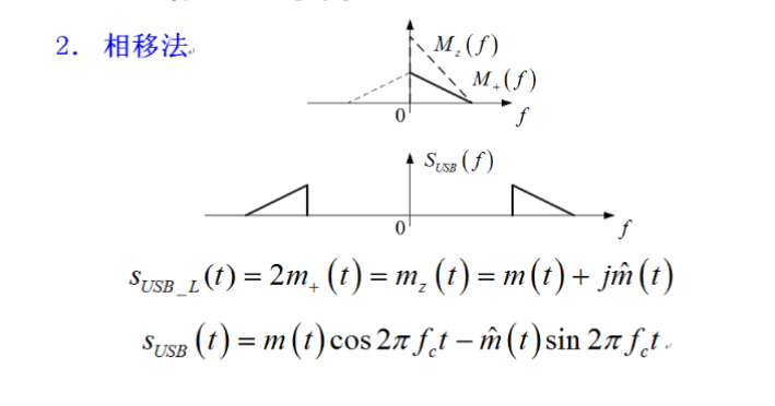
通信原理7 单边带调幅,残留边带调幅
通信原理7 单边带调幅,残留边带调幅
通信原理7 单边带调幅,残留边带调幅
通信原理7 单边带调幅,残留边带调幅
通信原理7 单边带调幅,残留边带调幅
通信原理7 单边带调幅,残留边带调幅
通信原理7 单边带调幅,残留边带调幅
通信原理7 单边带调幅,残留边带调幅
通信原理7 单边带调幅,残留边带调幅
通信原理7 单边带调幅,残留边带调幅
数字温控器的原理及组装
焊接坡口设计的原理是什么
450种机械动画
看懂这些机械逻辑,再复杂的机器都会一目了然



















