电磁学原理有什么内容_幸福是什么图片
原理图集原理 2025-02-27 14:08
电磁学的基本规律有哪些
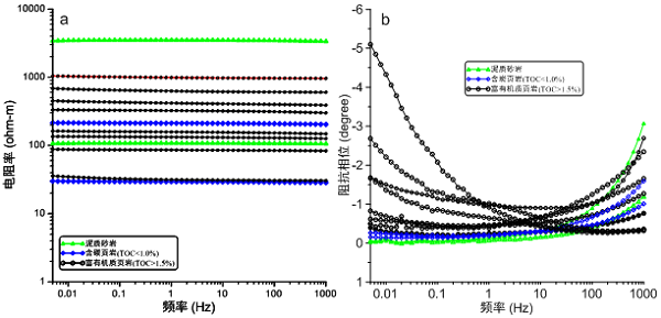
地质地球所等通过岩石物理研究揭示上扬子页岩气的电磁学机理
电气工程师知识补充 电磁学
电气工程师知识补充 电磁学
电气工程师知识补充 电磁学
电气工程师知识补充 电磁学
电气工程师知识补充 电磁学
电磁学基本原理
力学和电磁学中的变分原理及其应用
地质地球所等通过岩石物理研究揭示上扬子页岩气的电磁学机理
电磁场理论与计算电磁学的学习课件免费下载
科学出版社 院士编著精品教材 二
电磁学 原理 问题解析 馆藏本 一版一印 内页干净
科学网 氢分子共价键电磁学机理 罗教明的博文
力学和电磁学中的变分原理及其应用
激光切割加工之激光焦点位置检测与控制技术分析
从测量光速到计算光速,光速不变原理是怎么被发现的
对称原理 在电磁学中应用思路构架探索
Electromagnetism Principles and Applications 电磁学 原理和应用 平装
电磁轨道炮试验中 炮口为何会出现火焰
2015年高考物理电磁学电场示波管的原理与使用 专练 含解析
上一篇:电流互感器是利用什么原理图
















.png)


